聚酯是日常生活和工业生产中一种重要的线形热塑性聚合物,1953年由美国杜邦公司在世界最先实现工业化生产[1]。随着聚酯应用的普及,聚酯
工程塑料已列为五大工程塑料之一[2],热塑性聚酯包括聚对苯二甲酸乙二酯(PET)、聚对苯二甲酸丁二酯(PBT)和聚碳酸酯(PC)。
PET具有优异的力学性能、耐化学腐蚀性、高温下的尺寸稳定性[3-4],主要用于塑料包装瓶、薄膜、合成纤维、电子元件、汽车配件等领域[5-8]。由于PET和PBT的极限氧指数(LOI)只有20%~22%,燃烧时会产生熔滴,同时释放出大量的浓烟和有毒气体,对人体和环境的危害较大。
PBT作为一种热塑性半结晶型聚酯,具有较高的力学强度、力学性能、耐化学腐蚀性和易加工成型性等特点[9-10],在电子电器[11]、汽车零部件、精密仪器部件、建筑材料、纺织等领域得到广泛的应用[12]。
PC是一种非晶态极性商用热塑性工程塑料,作为五大工程塑料中需求增速最快的材料,具有优异的抗冲击强度、耐蠕变性能、电绝缘性能[13]、尺寸稳定性、透明性、耐热性[14]。PC在电子电器、轨道交通、航空航天、建筑及医疗等领域都有广泛的应用[15-16]。PC的初始分解温度在340oC左右,LOI值约为26%,UL 94垂直燃烧测试可达到V-2级别[17],燃烧过程中易于成炭,并且具有自熄性[18],阻燃性能高于一般的塑料[19-20]。然而,随着时代的发展,对热塑性聚酯的阻燃性能也有了越来越严格的要求。因此,热塑性聚酯的阻燃性能研究得到了越来越广泛的关注。
1、有机磷系阻燃剂
传统卤系阻燃剂具有较高的阻燃效率,但在燃烧过程中会产生二噁英和卤化氢气体等致癌及有毒有害物质,给人类的生命健康带来了危害,且不符合绿色环保的要求,已被部分国家和地区禁止使用。因此,研发环境友好的无卤阻燃剂十分必要[21]。在诸多的无卤阻燃剂中含磷阻燃剂是一种具有优异阻燃效率的阻燃剂品种,是目前卤系阻燃剂的最佳代替品[22]。同时,磷系阻燃剂由于生成的产物无烟、低毒、无腐蚀,逐渐成为阻燃研究领域关注热点之一[23]。有机磷系阻燃剂因其品种繁多,应用广泛,阻燃效果优异,同时还具有增塑剂和润滑剂的功效,可改善高分子材料加工成型过程中的流动性,具有广阔的发展空间[24]。2、磷系阻燃剂的阻燃剂机理在阻燃材料燃烧的过程中,磷系阻燃剂能够通过气相和凝聚相机理共同发挥阻燃作用,其中凝聚相阻燃起主要作用。具体方式如下:(1) 气相阻燃是指阻燃剂在气相中抑制或者中断可燃性气体的燃烧反应达到阻燃效果。在气相中,磷系阻燃剂能够裂解生成PO·、PO2·自由基,通过淬灭聚合物裂解产生的H·、HO·、O·自由基和链端等活性自由基,从而终止链式燃烧。同时,阻燃剂在高温受热分解时,会释放出惰性气体,可以稀释O2和可燃性气体的浓度达到阻燃目的[25];(2) 凝聚相阻燃是指阻燃剂在凝聚相中通过延缓或者阻止聚合物的热分解作用达到阻燃效果。在阻燃材料燃烧时,磷系阻燃剂受热分解生成的磷酸、偏磷酸、焦磷酸、聚磷酸等物质,促进可燃物脱水炭化,附着在材料表面,形成一层保护层;同时,其受热分解产生的富磷玻璃态物质,覆盖在残炭表面,能够隔绝空气,提高残炭表面的致密性。该残炭层导热性较差,在阻碍可燃性气体释放的同时,能够减弱火焰对基材的热量反馈强度,达到阻燃目的[26]。3、有机磷系阻燃剂阻燃热塑性聚酯阻燃剂根据组成和结构的不同可分为无机和有机阻燃剂两大类,有机阻燃剂绝大部分是含卤、含磷和含氮的有机化合物,其中用量最大的是含氯、含溴和含磷的阻燃剂。随着人们对于生态环境和身体健康的重视,有机磷系阻燃剂受到更加广泛的关注。有机磷系阻燃剂品种较多,不仅符合环保、高效的要求,同时具有阻燃和增塑双重功效,应用较为广泛,有些有机磷系阻燃剂还是膨胀型阻燃剂的主要活性成分,被广泛应用到热塑性聚酯当中。有机磷系阻燃剂主要包括磷(膦)酸酯、磷杂菲、有机次膦酸、有机次膦酸盐化合物、磷腈化合物、氧化膦等类型。3.1 磷(膦)酸酯类阻燃剂阻燃热塑性聚酯磷酸酯是由醇或酚与三氯氧磷反应,或者由相应的醇或酚与三氯化磷反应然后氧化水解制得,磷酸酯类阻燃剂是有机磷系阻燃剂的主要系列,它们大都属于添加型阻燃剂,通常为小分子液体形态,由于其具有低黏度、阻燃性能持久、良好的相容性等特点,广泛应用于工程塑料等领域[24],近年来发展十分迅速。到目前为止,世界上已开发了三代磷酸酯类阻燃剂。第一代是磷酸三苯酯(TPP),虽然阻燃效果优异但易挥发,为解决其挥发性问题,开发了第二代磷酸酯类阻燃剂,双酚A双(二苯基磷酸酯)(BDP)和间苯二酚双(二苯基磷酸酯)(RDP),如图1所示。如今工业生产中以TPP,BDP,RDP为主,添加量为5%~12%,即可以获得较好的阻燃效果。由于BDP、RDP均为液态不易于加工处理,故应用受到较大限制。
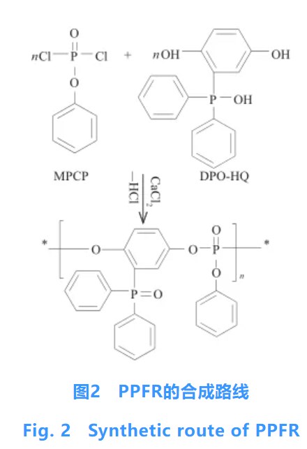
膦酸酯和磷酸酯的性质类似,伯和仲膦酸酯为结晶物质,绝热时形成膦酸酐,但它们的热稳定性高,只有在很高的温度下,碳-磷键才能断裂。由于碳-磷键的存在,它们的化学稳定性增强,具有耐水耐溶剂性。同时,其受热分解产生的更加稳定的聚磷酸等物质,覆盖在残炭表面,能够隔绝空气,提高残炭表面的致密性,因此阻燃效果优异。3.1.1 磷(膦)酸酯类阻燃剂阻燃PET芳香族缩聚磷酸酯是一类具有发展潜力的新型阻燃剂。其主链中有较多苯环,刚性大,故耐热性高、阻燃性持久,可克服低分子质量磷酸酯普遍存在的不足。田秀娟等[27]采用熔融缩聚法制备了聚苯氧基膦酸[2-( 二苯基膦酰)-1,4-苯二酚)酯](PPFR)新型磷酸酯类阻燃剂,合成路线如图2所示。当加入5%(质量分数,下同)PPFR的PET能达到32%的LOI值,并达到UL94 V-0级别。研究表明PPFR可以提高PET热稳定性,延缓其分解,并与PET之间存在协同成炭的作用。同时受热分解产生的大量磷酸类化合物可在基体表面形成致密炭层,起到优异的凝聚相阻燃作用。
常玉龙[28]采用熔融缩聚的方法合成了一种聚膦酸酯,即聚苯基磷酸(9,10-二氢-9-氧杂-10-膦酰杂菲)苯撑脂(PDPPP),研究它对于PET的热学、力学以及阻燃性能的影响。当添加8%的PDPPP (磷含量为1.11%),阻燃PET的LOI值为35.2%,并且通过了UL94 V-0级测试,热失重(TG)测试表明,该阻燃剂使阻燃PET的起始热分解温度提前,600oC时残炭量达到25.4%。拉伸试验表明,加入PDPPP后,PET树脂的力学没有显著下降。
孙晓红等[29]利用苯基膦酰二氯和DOPO-HQ反应合成一种新型聚膦酸酯阻燃剂(PDPP),合成路线如图3所示。将PDPP添加到PET中,发现当阻燃剂的添加量为8%,试样LOI值提升至29.6%,垂直燃烧等级达到UL 94 V-0级,具有优异的阻燃作用。PDPP通过气相和凝聚相的共同作用,赋予了PET复合材料优异的阻燃效果。其阻燃机理为气相中,PDPP能够释放大量PO·及PO2·自由基,在燃烧过程中,PO·及PO2·自由基能够捕捉H·,HO·,进而导致可燃物质的减少;凝聚相中,PDPP的加入导致热解产生的磷酸酯链段能够加快基体的脱水交联,形成高含磷量的高黏度炭层,使基体与热和氧隔绝开,起到隔热阻燃作用。
3.1.2 磷酸酯类阻燃剂阻燃PBTTPP为白色粉末状固体或片状晶体,不溶于水。BDP为黏度较大的无色或浅黄色液体,与传统的单磷酸酯阻燃剂相比,具有与基体相容性好,耐迁移、耐挥发、耐辐射、低毒等优点。 Xiao等[30]利用TPP与三聚氰胺(MA)协同阻燃PBT,研究表明添加10%MA和20%TPP阻燃PBT时,LOI值由纯样的20.9%增加到26.6%,达到UL94 V-0级别。通过断面的扫描电子显微镜(SEM)和差示扫描量热仪测试发现TPP与MA均匀地分散在PBT中,加速了PBT的结晶并增加其结晶度,增加阻燃性能的同时提升材料的力学性能。
除了常用的磷酸酯类阻燃剂外,目前,环状的磷酸酯不容易挥发,用于阻燃PBT,可以起到提高PBT的热稳定性,同时具有一定的增塑、增韧的作用。樊丽霞[31] 采用酯交换反应,利用三羟甲基氧化膦和亚磷酸三乙酯为原料合成氧化双环双磷亚磷酸酯阻燃剂FR-1 (FR-1分子式如图4所示)。添加氧化双环双磷亚磷酸酯阻燃剂FR-1的PBT,阻燃效果优异,阴燃和续燃情况消失,无熔滴,LOI值达到40.5%,UL94达到V-0级别。
Li等[32]以苯基膦酰氯和双酚A为原料,通过缩聚反应合成了一种新型固体阻燃环状双酚A齐聚物(CPBA)(如图5所示),用于阻燃PBT,添加25%的CPBA,LOI值由纯PBT的20.2%增加到28.6%并且达到了UL94 V-0级别。测试结果表明,CPBA低聚物能改变PBT的降解途径,改善PBT/CPBA体系的成炭性能,SEM分析表明残炭中含有多聚磷酸或磷酸,在炭化过程中起着重要作用。
3.1.3 磷酸酯类阻燃剂阻燃PC磷酸酯类阻燃剂是一类对阻燃PC非常有效的有机磷系阻燃剂,PC常用的磷酸酯类阻燃剂多为芳基磷酸酯,在燃烧的过程中有机磷酸酯与PC发生反应,体系中会产生大量的PO·和HPO·等自由基,它们会捕捉PC燃烧过程中释放的H·和HO·自由基,从而终止燃烧链式反应;另一方面,它们会与聚合物基体或分解产物反应生成P—O—C键,形成了致密的炭层以隔绝热量和O2,从而达阻燃的目的[33]。(1) TPP阻燃PC。对于阻燃PC来说,添加12%~18%的TPP能够取得较好的阻燃效果。当TPP磷含量达到了30%时,对PC/ABS的阻燃非常有效。但TPP熔点仅为50 ℃,初始分解温度为270 ℃,因此其阻燃PC时也受到一定的限制,阻燃的产品具有优良的透明性、柔软性和韧性。采用TPP和微晶纤维素(MCC)复配阻燃PC/丙烯腈-丁二烯-苯乙烯塑料(ABS),当TPP/MCC添加量10%时,TPP∶MCC为3∶1时,PC/ABS获得优良的力学性能。同时,材料的LOI值可达到28.0%,阻燃等级能达到UL94 V-0级[34]。将聚硼硅氧烷(PB)与TPP进行复配阻燃PC,能够降低阻燃PC材料在燃烧过程中热量、产烟量以及CO的释放[35]。(2) BDP阻燃PC。BDP的磷含量为8.9%,较TPP而言磷含量较小,但它与PC的相容性较好,通常添加10%的BDP就能使PC材料阻燃达到UL94 V-0级别,但是BDP会使PC材料的热变形温度降低,高添加量的BDP会使PC材料的冲击性能降低。对于LOI的测试来看,RDP和BDP对PC的阻燃效率优于红磷。BDP与聚四氟乙烯共同使用,8%BDP/0.2%PTFE/PC即可以达到29%的LOI值,并且通过UL 94 V-0等级[36]。PTFE的加入使得PC的热稳定性增强。(3) RDP阻燃PC。RDP是与BDP结构相近的磷酸酯,磷含量10.8%,略高于BDP,这类阻燃剂同时具有阻燃、增塑、抗氧化等功能,RDP黏度比BDP的低,但其水解稳定性不太理想,采用RDP对PC进行改性,随着阻燃剂添加量的增多,PC的阻燃等级、LOI值均有显著提高,且最终的残炭率明显升高。当RDP质量分数为8%时,PC的阻燃等级即可达到V-0级,LOI值达到31%,随着RDP的增多,残炭率在不断增加,RDP受热分解产生含磷的含黏稠状物质,能够覆盖在基材表面,降低焦炭层的透气性和保护焦炭层不被继续氧化,有利于提高PC的阻燃性,因此,RDP对PC的阻燃机理主要以凝聚相为主。Vothi等[37]合成了不同结构的磷酸酯衍生物:间苯三酚三(环2,2-二甲基-1,3-磷酸丙二醇)(PCDMPP)、间苯三酚(环1,3-丙二醇磷酸)(PCPP)、RDP以及间苯三酚二苯磷酸(PDP),探索了不同结构的磷酸酯衍生物在PC中的阻燃行为。与PCDMPP,PCPP以及RDP相比,添加2%(磷含量仅为0.23%)的PDP可以使复合材料通过UL94 V-0 级,而其他三者均在3%的添加量下达到UL94 V-0级别。同时,PDP在高温下会形成较多的残炭,这与PDP燃烧后生成富含P—OH的物质有关,这些产物在残炭中形成网络结构,有效阻隔氧气和热量的传递。Huang等[38]合成了两种对称、刚性结构的螺环磷酸酯PDMPDP和PDBPDP。结果表明,相比于RDP阻燃PC,PDMPDP和PDBPDP诱导了PC基材的提前分解,PC中加入5%PDBPDP (磷含量为0.59%)时,依然达到UL94 V-2等级,但明显缩短了第一次、第二次施加火焰后余焰时间(t1,t2);当添加5%PDMPDP (磷含量仅为0.66%)时,材料达到UL94 V-0等级,且测试过程中无熔滴现象。3.2 磷杂菲类阻燃剂阻燃热塑性聚酯9,10-二氢-9-氧杂-10-磷杂菲10-氧化物(DOPO)是一种重要的新型磷杂菲阻燃剂中间体,分子中含有磷菲杂环,最早见于1972德国的专利DE2034887[39],该专利介绍了该种物质及其衍生物和相近物质的合成方法。在聚合物材料燃烧过程中,磷杂菲基团能够在高温裂解过程中释放磷氧自由基和苯氧自由基碎片,淬灭聚酯基体裂解和燃烧过程的自由基反应,同时磷杂菲基团裂解生成的含磷物质能够与聚酯基体相互作用,提高聚酯成炭能力,发挥气相和凝聚相阻燃作用。由于DOPO结构的非平面性、大体积特性及异构体相互平衡[40],DPOP的互变异构平衡见图6所示。通常引入DOPO会由于非对称效应和自由体积效应降低材料的玻璃化转变温度(Tg),由于DOPO在300oC左右开始分解,通常会使材料的初始分解温度下降;同时,DOPO具有活泼的P—H键,由于易于断裂,通过P—H键与其他不饱和化合物发生自由基加成反应,或与醇发生脱水反应、与酯发生酯交换反应,磷杂菲基团能够非常容易地引入到其他分子中,构建成新型分子[41]。因而,DOPO成为了无卤、高效、环境友好的新型阻燃剂的研究热点,具有广阔的应用研究前景。
3.2.1 磷杂菲类阻燃剂阻燃PET
Fang等[42]依据参考文献制备了DOPO–CH2OH及2-氯-5,5-二甲基-1,3,2-二氧膦-2-氧化物(DOPC)两种化合物,并通过两种化合物反应构建了一种新型具有碳源的磷杂菲类阻燃剂DOPO-DOPC,加入到PET中,当阻燃剂添加量为10%时,阻燃化合物的LOI值为42.8%,并且通过UL94 V-0级测试。TG结果显示DOPO-DOPC的加入促进了PET成炭。在空气氛围下,通过SEM观察马弗炉煅烧的样品残炭,测试进一步证实了DOPO-DOPC促进了PET残炭的形成。
采用多种阻燃官能团共同作用可以达到较好的阻燃效果。Fang等[43]构建了一种分子中含有多磷杂菲基团和环三磷腈的新型阻燃剂9,10-二氢-9-氧杂-10-磷杂菲10-氧化物-三磷腈(DOPO-TPN),用来提高PET的阻燃性。加入5% DOPO-TPN,PET复合材料就可达到34%的LOI值和UL 94 V-0 级别。裂解气相色谱质谱联用(Py-GC/MS)结果显示DOPO-TPN能够减缓PET的自由基降解过程,SEM结果显示DOPO-TPN有利于基体形成更致密、完整的残炭,从而抑制热量和可燃气体的传递,达到从气相和凝聚性共同阻燃的作用。
3.2.2 磷杂菲类阻燃剂阻燃PBTDOPO及其衍生物在聚酯等高分子材料中用作新型磷系阻燃剂以提高其阻燃性能。罗继永等[44]用DOPO和马来酸酐进行接枝,构建出一种新型磷杂菲衍生物DOPO-MA,通过熔融共混的方法制备PBT/DOPO-MA/热塑性聚氨酯弹性体复合材料。随着DOPO-MA的加入可使PBT复合材料的LOI值提高到31.6%,UL94达到V-1 级。同时随着DOPO-MA添加量的增加,PBT复合材料的成炭量提高,孔洞减少,形成更加致密的炭层,阻燃效果明显提升。另外,PBT复合材料熔融温度会逐渐下降,结晶度得到一定提高,加工性得到进一步提升。徐晓强等[45]采用DOPO和衣康酸(ITA)为原料,合成一种磷杂菲类阻燃剂(DDPO)。随后与PBT熔融共混制备阻燃PBT/DDPO共混物,DDPO添加量为15%时,即可通过UL 94 V-0级,当添加量为20%时,共混物的LOI值从21.0%增加到31.2%,表现出优异的阻燃性能。由于DDPO分子中含有两个羧基,在熔融共混的过程中,可以与PBT分子链端的羟基发生酯化反应,起到扩链剂的作用,增大了PBT的分子量,因而提高了PBT的拉伸强度和弯曲强度。徐晓强[46]还利用DOPO、顺丁烯二酸酐及正丁醇为原料合成一种新型磷杂菲衍生物2-(6-氧-6H-二苯并[c,e][1,2] 氧杂磷菲-6-基)-丁二酸二丁酯(DOPOMB),结构式如图7所示。利用熔融共混方法在PBT加入15%的DOPOMB,阻燃混合物的LOI值为27.9%,达到UL94 V-0级。TG结果显示,含有DOPOMB的共混物的热分解温度提前,但仍然高于300oC。同时,由于DOPOMB为非反应型阻燃剂,会使拉伸和弯曲强度小幅度降低,但是冲击强度有所提升,PBT/DOPOMB混合物仍保持较好的力学性能。
He等[47]利用一种新型磷杂菲类DOPO-HQ (如图8所示)作为阻燃剂对PBT进行阻燃改性,并探究了其阻燃PBT的阻燃特性和热分解机理。在PBT中加入20% 的DOPO-HQ可以使LOI值增加,平均热释放速率(Av-HRR)下降约33%,热释放速率峰值(PHRR)下降约50%,总热释放量(THR)、热释放速率值(FIGRA)下降约28%。研究表明,PBT复合材料在热分解过程中,释放出一些含磷自由基(PO2·,PO·),将H·和·OH捕获到气相中形成P—OH结构,改变了纯PBT的分解途径,同时在凝聚相中也形成了多环芳烃结构和多膦酸盐结构,表现出优异的阻燃效果。
3.2.3 磷杂菲类阻燃剂阻燃PCNi等[48]以DOPO与2,4,6,8-四甲基-2,4,6,8-四乙烯基-环四硅氧烷(MVC)的加成反应构建了一种新型磷硅类阻燃剂(DOPO-MVC),DOPO-MVC的合成路线如图9所示。研究了DOPO-MVC对PC树脂的阻燃性能。DOPO-MVC的添加量为10%时,阻燃PC达到33.5%的LOI值,并通过了UL94 V-0等级,PC/10%MVC-DOPO的PHRR值比纯PC降低了21%,说明MVC-DOPO对PC燃烧强度有明显的抑制作用,同时,在燃烧的过程中,阻燃PC材料的总烟释放和CO含量增加,CO2含量降低,进一步证实了MVC-DOPO在气相中的燃烧抑制效应,形成了更不完全燃烧反应。在凝聚相中,MVC-DOPO的加入减少了热量释放,并且在残炭中形成了更多的含碳物质,实现了气相与凝聚相共同阻燃的作用。
Wu等[49]通过水解缩合反应合成了一系列含乙烯基(—CH=CH2)和含磷基(DOPO)的不完全笼型多面体低聚倍半硅氧烷(DVPOSS)(合成路线如图10所示),并将其添加到PC中。DVPOSS的加入使得PC复合材料具有良好的透光性、雾度和紫外线屏蔽性能,可以减小光源的眩光效应。同时在燃烧时DVPOSS可加速PC的分解,使得PC复合材料能够在燃烧过程中更快、更早形成炭层。当添加2% 时PC复合材料即可通过UL94 V-0 级。
将磷杂菲基团引入到PC分子中,可以制备本质阻燃聚合物,具有优异的阻燃效果,避免了添加型阻燃剂造成的阻燃剂分布不均一、易迁移、易挥发等缺点。Wang等[50]将含有磷杂菲基团的链段引入到PC分子主链中,制备了自阻燃聚碳酸酯-co-2-(6-oxid-6H-dibenz<c, e><1, 2>oxa-phosphorin-6-yl)-1, 4-benzenediol(PC-co-ODOPB)。当体系磷含量达到0.75%时,PC-co-ODOPB通过UL94 V-0级,LOI值达到31%;与PC纯样相比,PC-co-ODOPB明显提高了初始分解温度和残炭率。由此可见,磷杂菲基团链段的引入明显地提高了PC的阻燃性能,改善了PC的热稳定性和成炭能力.3.3 磷腈化合物阻燃热塑性聚酯磷腈是由磷、氮原子以单双键交替排列,侧基由有机基团组成的化合物,磷腈结构由于具有非共轭的特性,呈现柔软的分子结构特性,软化温度较低,不仅具有磷系阻燃剂良好的炭层阻隔作用,还具有含氮化合物的气相淬灭功能,同时还具有优异的光、热稳定性,良好的耐高低温性,较高的LOI值,低排烟量等优点,目前已经被应用于热塑性聚酯阻燃领域。磷腈化合物以环状或线性结构存在,可分为聚磷腈和环磷腈两大类,环磷腈以环三磷腈为主。环三磷腈是一种新型有机磷系阻燃剂骨架材料,具有稳定的六元环共轭结构,因此具有良好的热稳定性。同时其侧基活性较高,易于通过侧基的反应制备其衍生物,有针对性地改善其性能。聚磷腈是通过环磷腈在高温下开环聚合得到的,磷腈化合物中应用较为广泛的是聚磷腈化合物[51]。聚磷腈化合物具有耐油、耐水及耐溶剂等特性,长期使用温度可达250 ℃,使得该类材料在军事、航天耐烧蚀材料领域、石油化工领域、生物医学领域等方面具有极其广阔的应用前景。磷腈类阻燃剂虽然在性能上更具优势,但其制备成本较高,合成工艺较为复杂,现阶段的应用范围也比较有限[52]。3.3.1 磷腈化合物阻燃PET汪娇宁等[53]以含硅和硼元素的物质改性六氯环三磷腈(HCCP),制备环三磷腈衍生物(HCCP-Si-B)(HCCP-Si-B的分子结构如图11所示)。
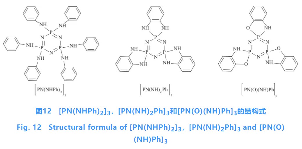
当阻燃剂HCCP-Si-B的添加量仅为1%时,就能使PET的LOI值达到30%以上,同时阻燃性达到UL94 V-0级。HCCP-Si-B的添加能促进PET基材脱水炭化,同时生成的氨气不但可以稀释可燃性气体的浓度,还能将炭层吹胀,形成多孔膨胀炭层,提高炭层的隔热性,进而提高复合材料的阻燃性能。3.3.2 磷腈化合物阻燃PBTLevchik等[54]合成了三种芳香胺取代的环三磷腈衍生物,如图12所示,并作为阻燃剂应用于PBT中,随着阻燃剂添加量增加,PBT复合材料的LOI值有了很大幅度提升。
当添加20%[PN(NHPh)2]3和[PN(NH)2Ph]3时,LOI值分别为26.6%和20.3%。当添加20%的[PN(O)(NH)Ph]3时,LOI值提升幅度更加明显,由21.9%提升到了29.2%,同时促进了PBT树脂的成炭作用。3.3.3 磷腈化合物阻燃PC许肖丽等[55]采用次磷酸铝(AHP)和苯氧基环三磷腈(PCPZ)协效阻燃PC,结果表明:当二者按照质量比为1∶1复配,协效阻燃剂的质量分数为10.0%时,PC混合物的LOI值为35.5%,并达到UL 94 V-0等级(1.6 mm的样条)。单独添加时,AHP比PCPZ的阻燃效果更好。3.4 有机次膦酸盐阻燃热塑性聚酯有机次膦酸盐热稳定性很高,用量少,阻燃效果好,阻燃效率随其烷基侧基的增长而降低,对材料的力学性能影响较小,可用于热塑性塑料阻燃。有机次膦酸盐主要以烷基次膦盐为主,烷基次膦酸盐兼有磷系阻燃剂的功效和金属阳离子的抑烟效果,含磷量较高,能够同时在气相和凝聚相中发挥阻燃作用,具有良好的热稳定性、疏水性能,在水中溶解性极低、对材料力学性能影响小,被广泛地应用于聚酯和聚酰胺在阻燃中。烷基次膦酸盐中的金属可以是Mg,Al,Ca,Sn,Ge等。然而,由于其工业生产技术难度相对较大,导致产品的价格昂贵,限制了其应用。3.4.1 有机次膦酸盐阻燃PET烷基次膦酸盐以高阻燃性、低烟、低毒已被广泛地应用于PET阻燃中,陈璐[56]将PET与二乙基次磷酸铝(AlPi)用双螺杆共混、造粒,然后注射成型。研究阻燃PET的阻燃和热降解动力学。研究结果表明,AlPi用量为15%时,阻燃PET可达到UL 94 V-0级,LOI值达到34.8%,随着AlPi用量的增加,阻燃PET的热分解温度逐渐降低,而残炭率逐渐增加,表明形成了更多的炭层可以隔绝热量和氧气,从而达到优异的阻燃效果。阻燃PET在降解后期的活化能高于纯PET,说明AlPi的加入促进了PET热降解成炭,阻止了材料的进一步氧化分解。Si等[57]将二乙基次磷酸铝(AlPi)协同纳米三氧化二锑(nano-Sb2O3)应用于PET中,当加入8%AlPi和2% nano-Sb2O3,阻燃PET获得33.6%的LOI值,并通过UL 94 V-0级,纳米材料的加入有利于PET/AlPi/nano-Sb2O3复合材料在燃烧时形成更加致密的炭层,形成了一种保护层,阻隔PET的进一步燃烧。胡优贤等[58]采用二乙基次磷酸锌(ZDP)与PET熔融共混的方法制备高磷含量的阻燃PET母料,在磷的质量分数为1.0%时,阻燃PET的LOI值为32.4%,达到了UL 94 V-1级别。ZDP通过气相捕获自由基和凝聚相形成致密的炭层从而发挥阻燃作用。3.4.2 有机次膦酸盐阻燃PBT李积德[59]合成了二丙基次膦酸铝(ADPP)阻燃剂,合成路线见图13所示。ADPP和三聚氰胺聚磷酸盐(MPP)复配(复配比例为2∶1)使用时,当添加量为13.0%,所制备的PBT复合材料的LOI值达33%,并通过UL 94 V-0。研究表明PBT复合材料在燃烧时,点燃时间较长,具有较低的热释放速率和生烟速率,具有良好阻燃效果。陶国良等[60]以AlPi为阻燃剂,以MPP为协效剂阻燃PBT,当PBT中单独添加20%的AlPi时,PBT/AlPi的LOI值能达到41%,并通过UL 94 V-0级别。当添加5%MPP和10% AlPi时,阻燃PBT材料也能通过UL94 V-0级别。通过分析表明,AlPi和MPP有协同阻燃作用,能够促进PBT提前分解,形成更加致密的炭层,提高PBT的阻燃性能。
3.4.3 有机次膦酸盐阻燃PC邵路山等[61]利用四甲基四乙烯基环四硅氧烷(MVC)、次亚磷酸(HPA)和六水合氯化铝通过加成和成盐反应,合成次膦酸盐-环四硅氧烷双基协同阻燃剂(MVC-AlPi),燃烧结果表明,纯PC的LOI值为25.5%,UL94为无级别,加入MVC-AlPi与TPP复配(质量比为5∶5),总添加量为10%的阻燃体系后PC的LOI值为28.4%,UL94达到V-0级。与纯PC相比,MVC-AlPi/TPP系统不仅抑制了PC复合材料的最大燃烧强度,而且抑制了总燃烧反应。而且,MVC-AlPi的热分解还产生了一些磷酸物质,这些磷酸物质倾向于捕获燃烧产生的含苯基碎片,促进了更多优质残碳化合物的形成,从而表现出更优异的阻燃性能。3.5 氧化膦阻燃热塑性聚酯氧化膦类阻燃剂大多数为含柔性脂肪链的氧化膦,因而使所得到的阻燃共聚酯存在着Tg大幅度降低的现象。为了改善这一问题,可以选用具有刚性链的氧化膦类阻燃剂-双(对-羧苯基)苯基氧化膦(BCPPO)(见图14),BCPPO是极其典型的一种结构型阻燃剂,分子中含有两个羧基和阻燃元素磷,具有较高的热稳定性、氧化稳定性和耐水解性[62],其热分解温度在350oC以上,最大分解速率对应的温度在450oC以上,在650oC时其分解残余物的量达40%,具有较高的炭化作用。由于有机膦无规则地分布在大分子链上,破坏了分子链结构的规整性,使得聚酯的熔点、Tg和特性黏度迅速下降,因此,BCPPO的用量一般不宜超过10%。
3.5.1 氧化膦阻燃PET值得注意的是,BCPPO是极其典型的一种结构型阻燃剂[63]。将其与对苯二甲酸乙二酯(BHET)以质量比5∶100合成了共聚阻燃聚酯(COPET),燃烧测试表明,纯PET的LOI值为21.6%,加入BCPPO后共聚酯COPET的LOI值为31.4%,提升了45.4%。与纯PET相比,COPET降低了初始分解温度,减弱了火焰的燃烧程度,提高了成炭能力,燃烧后的残余物具有一定的膨胀性。这些多孔膨胀炭层通过隔热、隔氧和阻止裂解产物挥发而产生阻燃作用可以有效地减缓PET材料的燃烧。3.5.2 氧化膦阻燃PBT马超[64] 合成含氧化膦超支化聚(膦酸酯·膦酸铝)(AHPPP)并阻燃PBT,纯PBT的LOI值为22.3%,加入AHPPP后阻燃PBT的LOI值逐渐升高,PHRR和THR值明显降低,成炭率增加。因此,测试表明AHPPP以凝聚相阻燃作用为主。3.5.3 氧化膦阻燃PC张旭东等[65] 将3-苯磺酰基苯磺酸钾(KSS)与TPP复配使用用于阻燃PC,添加量为0.1%的KSS可以获得36.1%的LOI值,且UL94达到V-0级。研究表明,在燃烧早期KSS会受热释放SO2和H2O等惰性气体,稀释CO等可燃气体,降低PC基体燃烧强度。另一方面,KSS受热分解能够促进PC的弗莱斯重排和异构化,加速PC交联,形成致密炭层,从而抑制材料的燃烧。4、结论与展望磷系阻燃剂因其具有阻燃效果优异、高效、低毒、环保的特点,是目前卤系阻燃剂的最佳代替品。作为磷系阻燃剂中应用较为广泛的有机磷系阻燃剂,因其种类多样化、阻燃效果优异,近年来已成为诸多研究者的热门课题。有机磷系阻燃剂主要以添加型阻燃剂为主,能够通过气相和凝聚相机理共同发挥阻燃作用。由于有机磷系阻燃剂其多为液体,不易于加工处理,容易挥发,在应用上有一定的局限性,因此需要针对这一缺点,开发高分子量的磷酸酯类阻燃剂,并尝试改变阻燃剂的状态;同时,加大环保型阻燃剂的研究,逐步代替一些毒性相对较大、发烟量大的阻燃剂;也可探索其与相容性较好的阻燃剂的复配协同阻燃效应,从而能有效减少有机磷系阻燃剂的用量,提高聚合物的阻燃性能;最好能够使有机磷阻燃剂多功能化,例如可以用作增塑剂、润滑剂、交联剂、防静电剂等,为人类带来更大的便利。另外,磷系阻燃剂中的多数品种具有较高的亲水性和水生生物毒性,因此在应用的过程中需要注意其对水生生物带来的负面影响。